產品推薦
Products
產品中心


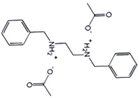
產品名稱
N,N'-二芐基乙二胺二醋酸鹽產品特性
CAS號:122-75-8
分子式:C20H28N2O4
分子量:360.4473

熔點:116-119°C
性狀:白色針狀結晶或粉末狀
性質:溶于水和乙醇,微溶于苯、丙酮和乙酸乙酯
儲存:密封,避光儲存于30°C以下、干燥、通風良好的倉庫內
有效期:12個月
包裝規格:20kg/桶
應用領域
作為醫藥中間體,應用于生產長效青霉素、長效青霉素G、長效氨芐西林及長效頭孢類藥物